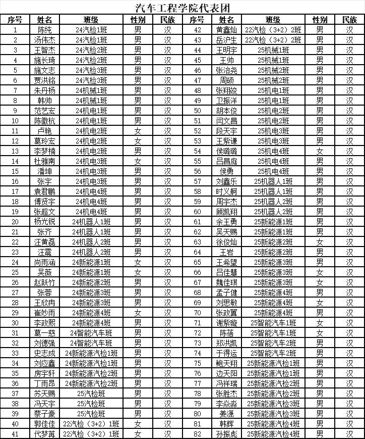
安徽交通职业技术学院第十次学生代表大会拟于2026年4月中上旬召开,为充分发扬民主,体现广大同学意志,切实保障同学们的民主权利,确保本次学代会的成功与务实,使我院学生会在以后各项工作中发挥更大的作用。根据《安徽交通职业技术学院学生会章程(修订案)》的有关规定及学代会代表产生办法,本次学代会共有候选代表数472人,现将472名候选代表名单公示如下:








公示时间:2026年3月21日-2026年3月26日,公示期间如有异议,可在2026年3月26日16时前以电话或电子邮件等形式将意见反馈至学院团委。
联系人:王老师
联系电话:0551-63450230
邮箱:ahjytw@126.com